Bộ GD&ĐT công bố đối sánh phổ điểm một số tổ hợp điểm thi THPT năm 2025
Sáng 22/7, Bộ GD&ĐT chính thức công bố bảng đối sánh phổ điểm một số tổ hợp điểm thi tốt nghiệp THPT năm 2025, điểm học tập bậc THPT. Đây sẽ là cơ sở để các trường xây dựng và công bố quy đổi tương đương điểm trúng tuyển giữa các tổ hợp xét tuyển theo đúng kế hoạch.
Bộ GD&ĐT cho biết, việc cung cấp phổ điểm các tổ hợp phổ biến của kỳ thi tốt nghiệp THPT và kết quả học tập THPT là để các cơ sở đào tạo có căn cứ xác định điểm chênh lệch giữa các tổ hợp (nếu có).
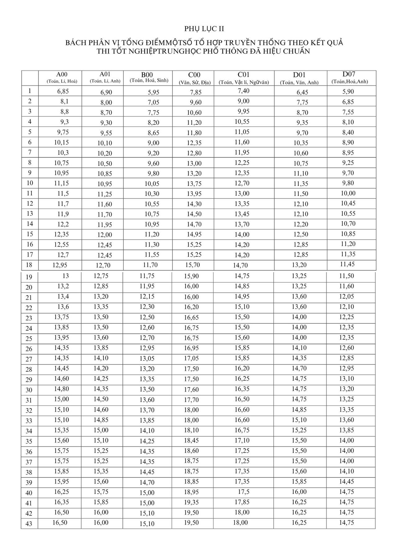
Cụ thể, Bộ GD&ĐT sẽ cung cấp các biểu đồ đối sánh phổ điểm một số tổ hợp phổ biến từ kỳ thi tốt nghiệp THPT năm 2025 và năm 2024, 2023; Bảng bách phân vị tổng điểm một số tổ hợp phổ biến của kỳ thi tốt nghiệp THPT năm 2025 sau khi được hiệu chuẩn; Tương quan giữa điểm các môn thi tốt nghiệp THPT năm 2025 với điểm trung bình các môn học THPT.
Để triển khai hiệu quả, minh bạch, công bằng và đúng kế hoạch tuyển sinh năm 2025, Bộ GD&ĐT đề nghị các cơ sở đào tạo chủ động xây dựng và công bố quy đổi tương đương điểm trúng tuyển giữa các tổ hợp xét tuyển theo đúng kế hoạch.
Quy đổi tương đương được thực hiện dựa trên cơ sở tham khảo đối sánh phổ điểm, bách phân vị tổng điểm một số tổ hợp truyền thống sử dụng kết quả thi tốt nghiệp THPT sau khi được hiệu chuẩn, các văn bản hướng dẫn của Bộ GD&ĐT, môn chính xét tuyển của từng ngành/nhóm ngành, yêu cầu đặc thù của ngành, trường và thống kê, đánh giá kết quả học tập các năm trước.
Trường hợp có sử dụng kết quả các kỳ thi riêng (đánh giá năng lực, đánh giá tư duy,...) và các phương thức khác, căn cứ công bố bách phân vị của các đơn vị chức kỳ thi đánh riêng, cơ sở đào tạo xác định tổ hợp phù hợp nhất (tổ hợp gốc, thường là tổ hợp có hệ số tương quan cao nhất giữa hai kỳ thi) để quy đổi với kết quả kỳ thi riêng, không xây dựng quan hệ bắc cầu.
Các cơ sở đào tạo thông báo rõ cho thí sinh và tuân thủ chặt chẽ trong quá trình xét tuyển; đồng thời có trách nhiệm giải đáp kết quả quy đổi tương đương điểm trúng tuyển.
Ví dụ: đối với ngành X, điểm trúng tuyển theo kết quả thi tốt nghiệp THPT của tổ hợp A00 (tổ hợp gốc) là 25/30 điểm, tương ứng với điểm trúng tuyển của kỳ thi riêng là 75/120 điểm; nếu điểm trúng tuyển theo tổ hợp B00 là 24/30 thì không tiếp tục sử dụng điểm này để xác định tương ứng điểm trúng tuyển của kỳ thi riêng.
Trường hợp có sử dụng kết quả học THPT, căn cứ số liệu thống kê về tương quan giữa điểm các môn thi tốt nghiệp THPT năm 2025 với điểm trung bình các môn học THPT, cơ sở đào tạo xây dựng và công bố quy đổi tương đương điểm trúng tuyển, ngưỡng đầu vào cho từng chương trình, ngành, nhóm ngành hoặc lĩnh vực đào tạo.
Đối với các cơ sở đào tạo có tổ chức kỳ thi độc lập theo bài thi tổng hợp, Bộ GD-ĐT yêu cầu xác định những tổ hợp môn thi tốt nghiệp phù hợp với đặc điểm của bài thi riêng do cơ sở đào tạo tổ chức và khuyến cáo các cơ sở đào tạo khác có thể sử dụng.
Trong đó, làm rõ tổ hợp nào phù hợp nhất để xác định làm tổ hợp gốc; hướng dẫn, hỗ trợ các cơ sở đào tạo trong xây dựng quy đổi điểm trúng tuyển.
Biểu đồ đối sánh phổ điểm một số tổ hợp truyền thống theo kết quả thi tốt nghiệp THPT:



Bách phân vị tổng điểm một số tổ hợp truyền thống theo kết quả thi tốt nghiệp THPT đã hiệu chuẩn:











